Ajustar modelos de series de potencias
Acerca de los modelos de series de potencias
La toolbox proporciona un modelo de serie de potencias de un término y uno de dos términos como se establece en la ecuación
Los modelos de serie de potencias describen diversos datos. Por ejemplo, la velocidad con la que se consumen los reactivos en una reacción química suele ser proporcional a la concentración del reactivo elevada a alguna potencia.
Ajustar modelos de serie de potencias de forma interactiva
Abra la app Curve Fitter escribiendo
curveFitteren la línea de comandos de MATLAB®. También puede hacer clic en Curve Fitter dentro del grupo Math, Statistics and Optimization de la pestaña Apps.En la app Curve Fitter, seleccione los datos de curva. En la pestaña Curve Fitter, en la sección Data, haga clic en Select Data. En el cuadro de diálogo Select Fitting Data, seleccione X data e Y data o simplemente Y data contra un índice.
Haga clic en la flecha de la sección Fit Type para abrir la galería y, luego, haga clic en Power dentro del grupo Regression Models.

Puede especificar las siguientes opciones en el panel Fit Options:
Especificar el número de términos en
1o2. Observe el panel Results para ver los términos del modelo, los valores de los coeficientes y las estadísticas de bondad de ajuste.De forma opcional, en la sección Advanced Options, especificar los valores iniciales del coeficiente y los restricciones de límite o cambiar la configuración de algoritmos. La app calcula los puntos de partida optimizados para los ajustes de Power, basándose en el conjunto de datos. Puede anular los puntos de partida y especificar los valores que desee en el panel Fit Options.
Para obtener más información sobre la configuración, consulte Especificar las opciones de ajuste y los puntos de partida optimizados.
Ajustar modelos de serie de potencias con la función fit
Este ejemplo muestra cómo utilizar la función fit para ajustar un modelo de serie de potencias a los datos.
El modelo de serie de potencias de la biblioteca es un argumento de entrada para las funciones fit y fittype. Especifique el tipo de modelo 'power1' o 'power2'.
Ajuste un modelo de serie de potencias de un solo término
load hahn1; f = fit(temp,thermex,'power1')
f =
General model Power1:
f(x) = a*x^b
Coefficients (with 95% confidence bounds):
a = 1.46 (1.224, 1.695)
b = 0.4094 (0.3825, 0.4363)
plot(f,temp,thermex)

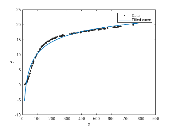
Ajuste un modelo de serie de potencias de dos términos
f = fit(temp,thermex,'power2')f =
General model Power2:
f(x) = a*x^b+c
Coefficients (with 95% confidence bounds):
a = -78.61 (-80.74, -76.48)
b = -0.2349 (-0.271, -0.1989)
c = 36.9 (33.09, 40.71)
plot(f,temp,thermex)

Consulte también
Apps
Funciones
fit|fittype|fitoptions