realizeModel
Create Simulink block equivalent of CIC rate conversion filter objects
Since R2024a
Description
realizeModel( generates a Simulink® library block equivalent of the cicObj)dsp.CICDecimator and dsp.CICInterpolator objects. The properties and
values of these objects define the parameters of the resulting block.
When cicObj is a dsp.CICDecimator object, the
realizeModel function generates a CIC
Decimation block. When cicObj is a
dsp.CICInterpolator object, the realizeModel
function generates a CIC Interpolation block.
Note
This function requires a Fixed-Point Designer™ license.
realizeModel(
generates a Simulink library block for cicObj,Name=Value)cicObj with additional options
specified by one or more name-value arguments.
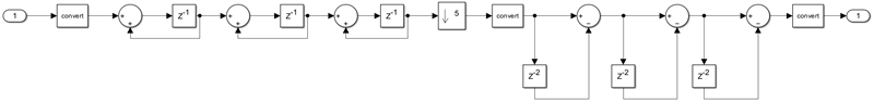
The value of the UseLibraryBlocks argument determines how the
function implements the realized block. The value of this argument is
true by default, so the function generates the library block equivalent
of the object with default settings. If you set the UseLibraryBlocks
argument to false, the function generates a subsystem equivalent of a CIC rate converter
using the Add (Simulink), Delay (Simulink), and Data Type Conversion (Simulink) blocks. To model rate
conversion operations, the function uses the Downsample and Upsample blocks.
Use the name-value arguments to control how the function generates the equivalent Simulink implementation. You can use these arguments to customize the block name, destination, and even optimize the block structure.
Examples
Input Arguments
Name-Value Arguments
Version History
Introduced in R2024a







