decimate
Decimación: reducir la tasa de muestreo por un factor entero
Descripción
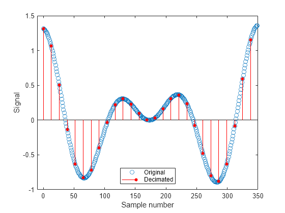
reduce la tasa de muestreo de la señal de entrada y = decimate(x,r)x por un factor de r. La señal diezmada, y, se acorta por un factor de r de modo que length(y) = ceil(length(x)/r). De forma predeterminada, decimate utiliza un filtro Chebyshev tipo I paso bajo de respuesta al impulso infinita (IIR) de orden 8.
Ejemplos
Argumentos de entrada
Argumentos de salida
Algoritmos
La decimación reduce la tasa de muestreo original de una secuencia a una tasa menor. Es lo contrario a la interpolación. decimate realiza un filtrado paso bajo de la entrada para proteger frente al solapamiento y submuestrea el resultado. La función utiliza los algoritmos de decimación 8.2 y 8.3 de [1].
decimatecrea un filtro paso bajo. El valor predeterminado es un filtro Chebyshev tipo I diseñado utilizandocheby1. Este filtro cuenta con una frecuencia de corte normalizada de0.8/ry una ondulación de banda de paso de 0,05 dB. En algunos casos, el orden de filtro especificado produce distorsión de banda de paso debido a los errores de redondeo acumulados por las convoluciones necesarias para crear la función de transferencia.decimatereduce automáticamente el orden del filtro cuando la distorsión hace que la respuesta de magnitud a la frecuencia de corte difiera de la ondulación en más de 10–6.Cuando se escoge la opción
"fir",decimateutilizafir1para diseñar un filtro paso bajo FIR con frecuencia de corte1/r.Cuando se utiliza el filtro FIR,
decimatefiltra la secuencia de entrada solo en una dirección. Esto conserva la memoria y resulta útil para trabajar con secuencias largas. En el caso del IIR,decimateaplica el filtro en dirección directa e inversa utilizandofiltfiltpara eliminar la distorsión de fase. En efecto, este proceso duplica el orden del filtro. En ambos casos, la función minimiza los efectos transitorios a ambos extremos de la señal mediante condiciones de punto final coincidentes.Por último,
decimateremuestrea los datos seleccionando cadar-ésimo punto del interior de la señal filtrada. En la secuencia remuestreada (y),y(end)coincide conx(end)cuando se usa el filtro IIR yy(1)coincide conx(1)cuando se usa el filtro FIR.
Referencias
[1] Digital Signal Processing Committee of the IEEE® Acoustics, Speech, and Signal Processing Society, eds. Programs for Digital Signal Processing. New York: IEEE Press, 1979.


