Interconnecting Linear Models
Arithmetic Operations for Interconnecting Models
You can perform arithmetic on LTI models, such as addition, multiplication, or concatenation. Addition performs a parallel interconnection. For example, typing
tf(1,[1 0]) + tf([1 1],[1 2]) % 1/s + (s+1)/(s+2)
produces this transfer function.
Transfer function: s^2 + 2 s + 2 ------------- s^2 + 2 s
Multiplication performs a series interconnection. For example, typing
2 * tf(1,[1 0])*tf([1 1],[1 2]) % 2*1/s*(s+1)/(s+2)
produces this cascaded transfer function.
Transfer function: 2 s + 2 --------- s^2 + 2 s
If the operands are models of different types, the resulting model type is determined by precedence rules; see Rules That Determine Model Type for more information.
For more information about model arithmetic functions, see Catalog of Model Interconnections.
You can also use the series and parallel functions as substitutes for multiplication and addition,
respectively.
Equivalent Ways to Interconnect Systems
Operator | Function | Resulting Transfer Function |
|---|---|---|
|
| Systems in parallel |
|
| Systems in parallel |
|
| Cascaded systems |
Feedback Interconnections
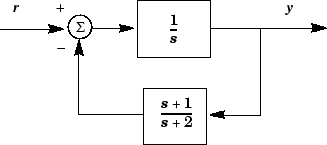
You can use the feedback and lft functions to derive closed-loop models. For example,
sys_f = feedback(tf(1,[1 0]), tf([1 1],[1 2])
computes the closed-loop transfer function from r to y for the feedback loop shown below. The result is
Transfer function:
s + 2
-------------
s^2 + 3 s + 1
This figure shows the interconnected system in block diagram format.
Feedback Interconnection

You can use the lft function to create more complicated
feedback structures. This function constructs the linear fractional transformation of two
systems. See the reference page for more information.