Introducción al estado de carga de una batería
El estado de carga de una batería (SOC) es una cantidad normalizada entre 0 y 1 que indica el nivel de carga de la batería en un momento dado. Si el SOC es 1, significa que la batería está completamente cargada, si es 0, la batería está completamente descargada.
El SOC de vehículos eléctricos es el equivalente del indicador de combustible en vehículos con motor de combustión interna convencionales, ya que ofrece a los conductores una indicación sobre cuánta energía queda en la batería; un SOC más alto implica una mayor autonomía de conducción. Conocer el SOC de la batería permite planificar viajes y paradas de carga de manera más eficaz. El SOC de una batería se puede calcular de esta manera
\( SOC({t_1}) = SOC({t_0}) + {{\frac{1}{C_{total}}}{\int_{t_0}^{t_1}{\frac{{\eta}i(t)}{3600}}dt}} \)
donde:
- \( SOC({t_1}) \) es el SOC de la batería en el instante \( t_1 \) medido en segundos.
- \( SOC({t_0}) \) es el SOC de la batería en el instante \( t_0 \) medido en segundos.
- \( i(t) \) es la corriente de la batería en A, con signo negativo cuando la batería se está descargando.
- \( η \) es el factor de eficiencia coulómbica sin unidad.
- \( C_{total} \) es la capacidad total de la batería en Ah. Se define como la carga extraída de la batería desde el estado de carga completa (SOC = 1) hasta el estado de descarga completa (SOC = 0). La capacidad total de la batería disminuye a medida que se degrada con el paso del tiempo.
Importancia de estimar el estado de carga de una batería con precisión
Los sistemas de gestión de baterías (BMS) se sirven de la estimación del SOC para informar al usuario sobre el uso esperado hasta la próxima recarga, mantener la batería dentro de la ventana de funcionamiento seguro, implementar estrategias de control y, en última instancia, prolongar la vida útil de la batería en muchas aplicaciones, como vehículos eléctricos (EV) y sistemas de almacenamiento de energía. Por ejemplo, se necesita la información sobre el SOC para poder estimar con precisión el estado de salud (SOH) de una batería. El BMS utiliza el SOC estimado para los algoritmos de equilibrado de celdas.
Desafíos para estimar el estado de carga de una batería con precisión
Estimar el SOC con precisión es fundamental para la gestión y funcionamiento eficaces de los sistemas de energía de baterías. No obstante, para lograrlo es necesario afrontar varios desafíos:
- Curvas de descarga no lineales: Las baterías suelen presentar características de descarga no lineales, lo que dificulta estimar el SOC basándose únicamente en mediciones de tensión.
- Errores de medición de corriente: La estimación precisa del SOC suele depender de mediciones exactas de la corriente. Los errores en la detección de corriente pueden provocar errores acumulativos en la estimación del SOC, especialmente en métodos como el conteo de Coulomb.
- Deterioro, degradación y dependencia del SOH: El SOC depende con frecuencia del estado de salud de la batería. Con el paso del tiempo, las baterías se degradan, lo que afecta a su capacidad y resistencia interna. Si no se tiene en cuenta adecuadamente, esta degradación puede provocar inexactitudes en la estimación del SOC.
- Autodescarga: Las baterías pueden perder carga con el paso del tiempo, incluso cuando no están en uso, lo que puede provocar discrepancias en la estimación del SOC si no se tiene en cuenta.
- Perfiles de carga dinámicos: Las cargas fluctuantes pueden complicar la estimación del SOC, ya que pueden provocar cambios rápidos en la tensión y corriente de la batería, lo que dificulta realizar un seguimiento del auténtico estado de carga.
- Parametrización de modelos de baterías: Los modelos de baterías son modelos de circuitos equivalentes típicos. Para estimar el SOC con precisión, es necesario ajustar con exactitud el modelo y la covarianza si se utiliza un filtro Kalman. La parametrización de modelos puede ser lenta y suponer un desafío.
Cómo calcular el estado de carga de una batería
Los métodos para estimar el SOC pueden ser simples, como integración de las corrientes (conteo de Coulomb) y monitorización de la tensión, o sofisticados basados en modelos y datos, como filtros de Kalman y redes neuronales.
Es indispensable contar con modelos de baterías precisos para desarrollar algoritmos de estimación del SOC basada en modelos en un sistema de gestión de baterías. Los enfoques tradicionales de estimación del SOC en un sistema de gestión de baterías, como consulta de tensión en circuito abierto (OCV) e integración de corrientes (conteo de Coulomb), son fáciles de implementar y razonablemente precisos en algunos casos. No obstante, el enfoque basado en OCV requiere la medición de OCV, que debe ir precedida de un periodo de reposo prolongado. El conteo de Coulomb adolece de problemas de inicialización deficiente y acumulación de ruido de medición de corriente. Se ha comprobado que los enfoques de EKF (filtro Kalman extendido) y UKF (filtro Kalman unscented) ofrecen resultados precisos con carga computacional moderada en implementaciones de BMS del mundo real.
Simscape Battery™, software de modelización para diseñar y simular sistemas de almacenamiento de energía y baterías, ofrece varios estimadores de SOC para desarrollar BMS, y permite generar código:
- SOC Estimator (Coulomb Counting): Estimador del estado de carga con conteo de Coulomb
- SOC Estimator (Coulomb Counting, Variable Capacity): Estimador del estado de carga con conteo de Coulomb y capacidad variable
- SOC Estimator (Kalman Filter): Estimador del estado de carga con filtro Kalman
- SOC Estimator (Kalman Filter, Variable Capacity): Estimador del estado de carga con filtro Kalman y capacidad variable
- SOC Estimator (Adaptive Kalman Filter): Estimador del estado de carga y resistencia terminal con filtro Kalman adaptativo
- SOC Estimator (Adaptive Kalman Filter, Variable Capacity): Estimador del estado de carga y resistencia terminal con filtro Kalman adaptativo y capacidad variable
En comparación con el estimador del SOC con filtro Kalman, el estimador del SOC con filtro Kalman adaptativo incluye un estado adicional: resistencia terminal. Ambos estimadores permiten seleccionar EKF o UKF para desarrollar un observador para estimar el SOC. Normalmente, estos observadores de un sistema de gestión de baterías incluyen un modelo del sistema de baterías no lineal, que utiliza la corriente y tensión medidas por el BMS en la batería como entradas, además de un algoritmo recursivo que calcula los estados internos del sistema (entre ellos, el SOC) a partir de un proceso de predicción y actualización de dos pasos.
Comparación del SOC real y estimado utilizando EKF con bloques de BMS integrados. (Ver ejemplo de Simscape Battery.)
Estimación del estado de carga de una batería con una red de Deep Learning
En lugar de un filtro Kalman, un sistema de gestión de baterías puede estimar el SOC con un método basado en datos, como una red neuronal. Este método no requiere mucha información sobre la batería o su comportamiento no lineal. La red se entrena con datos de corriente, tensión y temperatura, y SOC como respuesta. Puede comprimir una red neuronal utilizando proyección, que permite ejecuciones más rápidas cuando se ejecuta en la CPU o se despliega en hardware integrado de BMS empleando generación de código C o C++ sin librerías.
Uso de una red neuronal para estimación del SOC en un sistema de gestión de baterías. (Ver ejemplo de Deep Learning Toolbox™.)
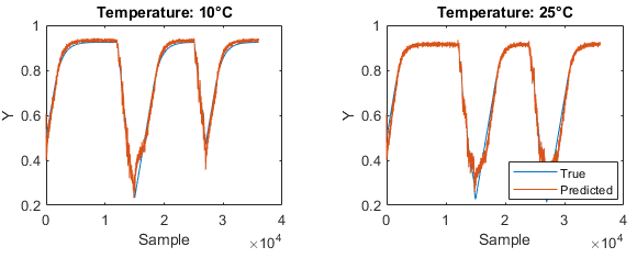
Comparación del SOC real de un sistema de gestión de baterías y el SOC estimado con una red de Deep Learning a dos temperaturas diferentes. (Ver código de MATLAB)
Ejemplos y procedimientos
Ejemplos
Vídeos
Ponencias: SAE World Congress
Casos prácticos
También puede consultar estos temas: Sistema de gestión de baterías, Simscape Battery, Modelización de baterías, Sistemas de baterías, Diseño de sistemas de baterías
Ponga a prueba sus conocimientos sobre sistemas de gestión de baterías
Compruebe su nivel de conocimiento sobre sistemas de gestión de baterías (BMS) con este cuestionario de 10 preguntas. Obtenga más información sobre funciones de BMS, estimación de SOC/SOH, equilibrado de celdas, y mucho más. Descubra cómo los BMS garantizan la seguridad y eficiencia de sistemas de baterías.